Description for Antivert
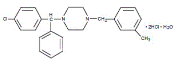
Chemically, ANTIVERT® (meclizine HCl) is 1-(p-chloro-α-phenylbenzyl)-4-(m-methylbenzyl) piperazine dihydrochloride monohydrate.
![]() |
Inert ingredients for the tablets are: dibasic calcium phosphate; magnesium stearate; polyethylene glycol; starch; sucrose. The 12.5 mg tablets also contain: Blue 1. The 25 mg tablets also contain: Yellow 6 Lake; Yellow 10 Lake. The 50 mg tablets also contain: BLUE 1 Lake; Yellow 10 Lake.
Uses for Antivert
ANTIVERT is indicated for the treatment of vertigo associated with diseases affecting the vestibular system.
Dosage for Antivert
For the treatment of vertigo associated with diseases affecting the vestibular system, the recommended dose is 25 to 100 mg daily, in divided dosage, depending upon clinical response.
HOW SUPPLIED
Antivert® 12.5 mg tablets:
Bottles of 100 - NDC 70199-002-01
Antivert® 25 mg tablets:
Bottles of 100 - NDC 70199-003-01
Antivert® 50 mg tablets:
Bottles of 100 - NDC 70199-004-01
Manufactured for: Casper Pharma LLC. East Brunswick, NJ 08816. Revised: Apr 2018.
Side Effects for Antivert
Anaphylactoid reaction, drowsiness, dry mouth, headache, fatigue, vomiting and, on rare occasions, blurred vision have been reported.
To report SUSPECTED ADVERSE REACTIONS, contact Casper Pharma LLC. at 1-844– 5–CASPER (1-844-522-7737) or FDA at 1-800-FDA-1088 or www.fda.gov/medwatch.
Drug Interactions for Antivert
There may be increased CNS depression when meclizine is administered concurrently with other CNS depressants, including alcohol, tranquilizers, and sedatives. (see WARNINGS).
Based on in-vitro evaluation, meclizine is metabolized by CYP2D6. Therefore there is a possibility for a drug interaction between meclizine and CYP2D6 inhibitors.
Warnings for Antivert
Since drowsiness may, on occasion, occur with use of this drug, patients should be warned of this possibility and cautioned against driving a car or operating dangerous machinery.
Patients should avoid alcoholic beverages while taking this drug.
Due to its potential anticholinergic action, this drug should be used with caution in patients with asthma, glaucoma, or enlargement of the prostate gland.
Precautions for Antivert
Pediatric Use
Clinical studies establishing safety and effectiveness in children have not been done; therefore, usage is not recommended in children under 12 years of age.
Pregnancy
Pregnancy Category B
Reproduction studies in rats have shown cleft palates at 25–50 times the human dose. Epidemiological studies in pregnant women, however, do not indicate that meclizine increases the risk of abnormalities when administered during pregnancy. Despite the animal findings, it would appear that the possibility of fetal harm is remote. Nevertheless, meclizine, or any other medication, should be used during pregnancy only if clearly necessary.
Nursing Mothers
It is not known whether this drug is excreted in human milk. Because many drugs are excreted in human milk, caution should be exercised when meclizine is administered to a nursing woman.
Hepatic Impairment
The effect of hepatic impairment on the pharmacokinetics of meclizine has not been evaluated. As meclizine undergoes metabolism, hepatic impairment may result in increased systemic exposure of the drug. Treatment with meclizine should be administered with caution in patients with hepatic impairment.
Renal Impairment
The effect of renal impairment on the pharmacokinetics of meclizine has not been evaluated. Due to a potential for drug/metabolite accumulation, meclizine should be administered with caution in patients with renal impairment and in the elderly as renal function generally declines with age.
Clinical Pharmacology for Antivert
ANTIVERT is an antihistamine that shows marked protective activity against nebulized histamine and lethal doses of intravenously injected histamine in guinea pigs. It has a marked effect in blocking the vasodepressor response to histamine, but only a slight blocking action against acetylcholine. Its activity is relatively weak in inhibiting the spasmogenic action of histamine on isolated guinea pig ileum.
Pharmacokinetics
The available pharmacokinetic information for meclizine following oral administration has been summarized from published literature.
Absorption
Meclizine is absorbed after oral administration with maximum plasma concentrations reaching at a median Tmax value of 3 hours post-dose (range: 1.5 to 6 hours) for the tablet dosage form.
Distribution
Drug distribution characteristics for meclizine in humans are unknown.
Metabolism
The metabolic fate of meclizine in humans is unknown. In an in vitro metabolic study using human hepatic microsome and recombinant CYP enzyme, CYP2D6 was found to be the dominant enzyme for metabolism of meclizine.
The genetic polymorphism of CYP2D6 that results in extensive-, poor-, intermediate- and ultrarapid metabolizer phenotypes could contribute to large inter-individual variability in meclizine exposure.
Elimination
Meclizine has a plasma elimination half-life of about 5-6 hours in humans.
Patient Information for Antivert
No information provided. Please refer to the WARNINGS and PRECAUTIONS sections.
From 
Healthy Resources
Report Problems to the Food and Drug Administration
You are encouraged to report negative side effects of prescription drugs to the FDA. Visit the FDA MedWatch website or call 1-800-FDA-1088.
